Beranda
/ Contoh Soal Permutasi : Kaidah Pencacahan Permutasi Materi Lengkap Matematika - Permutasi (definisi, jenis permutasi dan contoh soal) ini bisa bermanfaat.
Contoh Soal Permutasi : Kaidah Pencacahan Permutasi Materi Lengkap Matematika - Permutasi (definisi, jenis permutasi dan contoh soal) ini bisa bermanfaat.
Contoh Soal Permutasi : Kaidah Pencacahan Permutasi Materi Lengkap Matematika - Permutasi (definisi, jenis permutasi dan contoh soal) ini bisa bermanfaat.. Pada permutasi berulang, urutan tetap diperhatikan, tetapi unsur/elemennya boleh diulang. Soal permutasi yang keluar pada utbk 2019 terdiri dari permutasi biasa dan permutasi dengan unsur yang sama. Jika sudah mulai mempelajari peluang pastinya kamu akan menemui materi permutasi dan kombinasi. Permutasi (definisi, jenis permutasi dan contoh soal) ini bisa bermanfaat. Tujuan dari pembelajaran matematika kali ini adalah agar kita terbiasa memecahkan latihan soal permutasi dan latihan soal kombinasi.
Permutasi adalah susunan berurutan dari semua atau sebagian elemen dari suatu himpunan. Tujuan dari pembelajaran matematika kali ini adalah agar kita terbiasa memecahkan latihan soal permutasi dan latihan soal kombinasi. Membahas mengenai peluang tidak terlepas dari percobaan, ruang sampel, dan kejadian. Secara matematis, dirumuskan sebagai berikut. Bagaimana tips dan trik mengerjakan soal psikotes dengan mudah seperti contoh soal psikotes pauli kraepelin tes koran dan soal psikotes gambar.
Pembahasan Soal Permutasi Dan Kombinasi Un 2018 from 4.bp.blogspot.com Permutasi adalah susunan berurutan dari semua atau sebagian elemen dari suatu himpunan. Langsung saja simak pembahasannya berikut. Jika tersedia 7 calon, maka banyaknya susunan staf pengurus yang mungkin. Lagi galau ya ngerjain tugas. Keduanya adalah cara hitung untuk … Berapa banyaknya permutasi dari cara duduk yang dapat terjadi jika 8 orang disediakan 4 kursi, sedangkan salah seorang dari padanya selalu duduk dikursi f tertentu. Pembahasan soal utbk tps 2019 permutasi. Notasi ini digunakan dalam perhitungan permutasi dan kombinasi.
Jika salah seorang selalu duduk dikursi tertentu maka tinggal 7 orang dengan 3 kursi kosong.
Pada soal peluang kelas 11 kita akan mempelajari beberapa contoh soal peluang kombinasi dan peluang bersayarat. Dimana permutasi dan kombinasi merupakan sub bab dari materi peluang di mata pelajaran matematika kelas 12 atau di akhir masa sekolah sma, smk, ataupun ma. Jika sudah mulai mempelajari peluang, pastinya kamu akan menemui materi permutasi dan kombinasi. Secara matematis, dirumuskan sebagai berikut. Dalam permutasi perlu dipahami terlebih dahulu terkait faktorial. Untuk menjabat pengelola suatu perusahaan memerlukan 3 staf pengurus yaitu ketua, sekretaris dan bendahara. Faktorial pada pelajaran matematika, faktorial dari bilangan asli n merupakan hasil perkalian antara bilangan bulat positif yang kurang dari atau sama dengan n hingga terurut 1. Jika salah seorang selalu duduk dikursi tertentu maka tinggal 7 orang dengan 3 kursi kosong. Soal ini merupakan model soal permutasi dengan penyekatan. Operasi permutasi dan kombinasi ini memakai tanda faktorial (!). Ambil contoh saja ketika kamu ingin menentukan siapa yang berhak menduduki jabatan ketua, sekretaris dan bendahara kelas. Berapa banyaknya permutasi dari cara duduk yang dapat terjadi jika 8 orang disediakan 4 kursi, sedangkan salah seorang dari padanya selalu duduk dikursi f tertentu. Pelajaran, soal & rumus permutasi kalau kamu tertarik untuk mempelajari tentang materi permutasi, simak video pembahasannya di sini.
Pada umumnya, siswa akan merasa kebingungan jika soal sudah diubah sedikit. Keduanya adalah cara hitung untuk … Langsung saja simak pembahasannya berikut. Pada permutasi berulang, urutan tetap diperhatikan, tetapi unsur/elemennya boleh diulang. Notasi ini digunakan dalam perhitungan permutasi dan kombinasi.
Matematika Latihan Soal Permutasi Dan Kombinasi Pahamify Semua Bisa Semua Paham from pahamify.com An introduction to probability and combinations (2017) oleh steve taylor, peluang merupakan seberapa. Permutasi adalah suatu susunan yang berbeda atau urutan yang berbeda yang dibentuk oleh sebagian atau keseluruhan unsur yang diambil dari sekelompok unsur yang tersedia. Dimana permutasi dan kombinasi merupakan sub bab dari materi peluang di mata pelajaran matematika kelas 12 atau di akhir masa sekolah sma, smk, ataupun ma. Contoh soal peluang rumus peluang adalah p(a) = n(a)/n(s), yaitu pembagian jumlah ruang sampel dengan jumlah ruang semesta kejadian peristiwa. Contoh soal dan jawaban permutasi dan kombinasi. Dilansir dari probability with permutauions: Contoh soal dan rumus permutasi lengkap popular. Karena kasus ini memerhatikan urutan dan terdapat pola yang.
Soal dan jawaban tentang permutasi dan kombinasi.
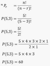
Hasil kali bilangan bulat dari 1 sampai n adalah n! Permutasi (definisi, jenis permutasi dan contoh soal) ini bisa bermanfaat. Berapa banyaknya permutasi dari cara duduk yang dapat terjadi jika 8 orang disediakan 4 kursi, sedangkan salah seorang dari padanya selalu duduk dikursi f tertentu. Contoh soal dan rumus permutasi lengkap popular. Suatu notasi angka n faktorial dilambangkan dengan n! Permutasi adalah susunan berurutan dari semua atau sebagian elemen dari suatu himpunan. Faktorial pada pelajaran matematika, faktorial dari bilangan asli n merupakan hasil perkalian antara bilangan bulat positif yang kurang dari atau sama dengan n hingga terurut 1. Berapa banyaknya permutasi dari cara duduk yang dapat terjadi jika 8 orang disediakan 4 kursi, sedangkan salah seorang dari padanya selalu duduk dikursi tertentu. Contoh soal permutasi pokok pembahasan artikel : 1) ada berapa cara bila 4 orang remaja (w,x, y, z) menempati tempat duduk yang akan disusun dalam suatu susunan yang teratur? Ada banyak contoh soal mengenai permutasi siklis. Lagi galau ya ngerjain tugas. Keduanya adalah cara hitung untuk …
Contoh soal permutasi dan kombinasi beserta pembahasannya. Jika sudah mulai mempelajari peluang, pastinya kamu akan menemui materi permutasi dan kombinasi. Soal ini merupakan model soal permutasi dengan penyekatan. Jika salah seorang selalu duduk dikursi tertentu maka tinggal 7 orang dengan 3 kursi kosong. Simbol penulisan faktorial ditulis sebagai n!
Contoh Soal Permutasi Eljq8k00yd41 from idoc.pub Permutasi adalah susunan berurutan dari semua atau sebagian elemen dari suatu himpunan. Contoh soalsoal permutasi dan kombinasi : Pada permutasi berulang, urutan tetap diperhatikan, tetapi unsur/elemennya boleh diulang. Ada banyak contoh soal mengenai permutasi siklis. Dalam permutasi perlu dipahami terlebih dahulu terkait faktorial. Permutasi (definisi, jenis permutasi dan contoh soal) ini bisa bermanfaat. Contoh soal permutasi dan kombinasi akan dibahas pada artikel kursiguru kali ini. Notasi ini digunakan dalam perhitungan permutasi dan kombinasi.
Pada suatu rapat dihadiri oleh 6 orang yang duudk mengelilingi sebuah meja bundar.
Berikut ini adalah pembahasan soal utbk tps 2019 tentang permutasi. Contoh soal dan rumus permutasi lengkap popular. Suatu notasi angka n faktorial dilambangkan dengan n! Dalam permutasi perlu dipahami terlebih dahulu terkait faktorial. Semoga beberapa contoh di bawah ini dapat membantu anda menyelesaikan soal soal yang terkait dengan permutasi dan kombinasi. Agustus 26, 2019 januari 26, 2020 admin contoh soal permutasi, permutasi postingan ini membahas contoh soal permutasi dan penyelesaiannya atau pembahasannya. Jika sudah mulai mempelajari peluang, pastinya kamu akan menemui materi permutasi dan kombinasi. Contoh soal peluang rumus peluang adalah p(a) = n(a)/n(s), yaitu pembagian jumlah ruang sampel dengan jumlah ruang semesta kejadian peristiwa. Pada soal peluang kelas 11 kita akan mempelajari beberapa contoh soal peluang kombinasi dan peluang bersayarat. Secara matematis, dirumuskan sebagai berikut. Karena kasus ini memerhatikan urutan dan terdapat pola yang. Tujuan dari pembelajaran matematika kali ini adalah agar kita terbiasa memecahkan latihan soal permutasi dan latihan soal kombinasi. Langsung saja simak pembahasannya berikut.
Berbagi
Posting Komentar
untuk "Contoh Soal Permutasi : Kaidah Pencacahan Permutasi Materi Lengkap Matematika - Permutasi (definisi, jenis permutasi dan contoh soal) ini bisa bermanfaat."
Posting Komentar untuk "Contoh Soal Permutasi : Kaidah Pencacahan Permutasi Materi Lengkap Matematika - Permutasi (definisi, jenis permutasi dan contoh soal) ini bisa bermanfaat."